Skip to content

CUPE 7575

Educational Assistants and the Student Supervisor's of the Thames Valley District School Board & Childcare Workers of Good Beginnings Day Nursery Woodstock Inc

  • Home
  • Resources
    • Collective Agreement 2022-2026
    • Bylaws
    • EMPLOYEE AND FAMILY ASSISTANCE PROGRAM (EFAP)
    • Benefits (LTD, EAP)
    • OTIP Insurance (Car, Home, Retirement – Health and Dental, Travel) & Bursary Program
    • Post-Secondary Bursary Award
    • Pensions
    • TVDSB Code of Conduct Policy
    • TVDSB Off Duty Conduct Policy
    • Glossary of Terms used at Union Meetings
    • CUPE 7575 Logo
  • About us
    • EXECUTIVE COMMITTEE
    • Committees
    • Who We Represent!
  • Contact us
  • Photo Archives
    • 2012 – 2020
      • 2012 – 2014 Photo Archive
      • 2015 Photo Archive
      • 2016 – 2017 Photo Archive
      • 2018 Photo Archive
      • 2019 Photo Archive
      • 2020 Photo Archive
    • 2021 – 2024 Photo Archive
      • 2021 Photo Archive
      • 2022 Photo Archive
      • Days of Protest 2022 Photo Archive
      • 2023 Photo Archive
      • 2024 Photo Archive
      • CUPE 7575 at Education and Conferences 2024 Photo Archive
      • 2024 Halloween Photo Archive
      • Rallies and Supporting Striking Workers 2024
      • Retiree Celebrations 2024
    • 2025 – 2026 Photo Archive
      • 2025 Photo Archive
      • Last Day of School – 2025
      • Rallies and Supporting Striking Workers
      • Award of Distinction 2025 Photo Archive
      • Conferences and Education 2025 Photo Archive
      • Retiree Celebration 2025
      • London Lightning Game 2025 Photo Archive
      • Halloween 2025
  • Good Beginnings Childcare Workers

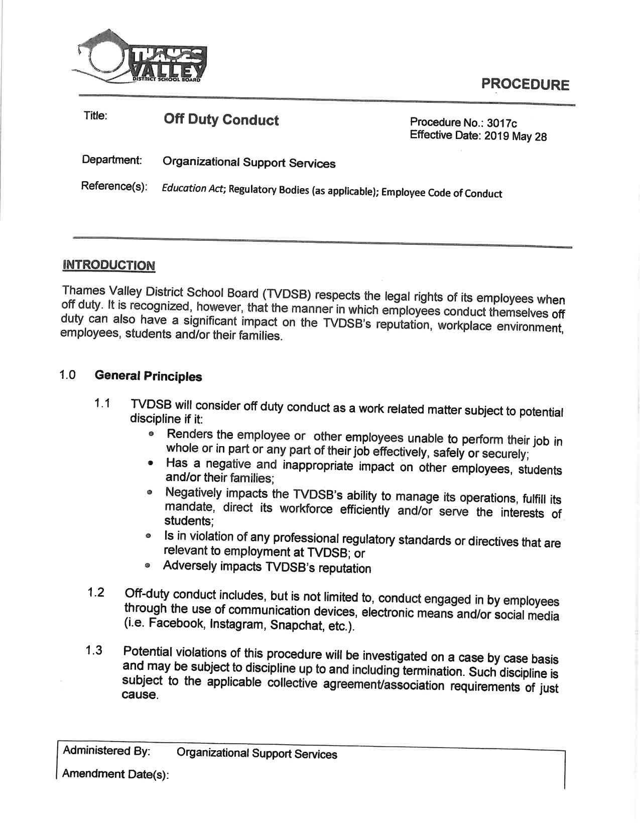
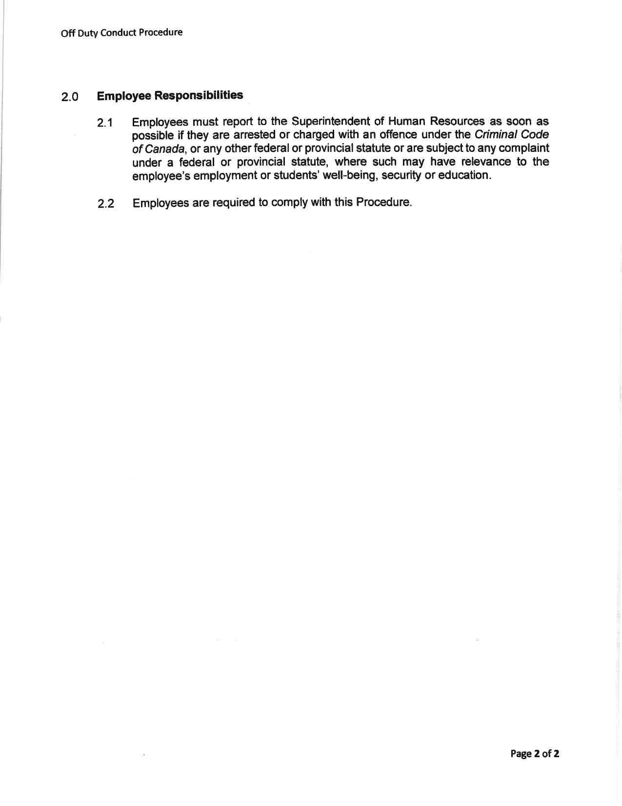
TVDSB Off Duty Conduct Policy

Share this:

  • Click to share on Facebook (Opens in new window) Facebook
  • Click to share on X (Opens in new window) X

Follow Us

  • X
  • Instagram
  • Facebook
  • Bluesky

General Membership Meetings 2025 – 2026

Thur. April 30th -6pm
Wed. May 20th – 6pm

Wed. June 24th – 6pm

OSBCU Webinars
April 16 at 11am & 6pm
May 14 at 11am & 6pm
June 15 at 11am & 6pm

Where To Find Us

Where To Find Us

1093 Brydges St. London, ON N5W 2B5

519-601-7570 (Office Phone) 519-601-7576 (Fax)

Translate

RSS CUPE Headlines

  • SAVE THE DATE: 2026 National Sector Council Conference May 15, 2026
  • The OSBCU calls for real investment after Ford government’s deeply inadequate education funding announcement May 14, 2026
  • Majority of Ontario hospitals have been operating in the red over the last three years, new report shows May 11, 2026
  • CUPE women bring their voices to the United Nations May 11, 2026
© 2026 CUPE 7575 • Built with GeneratePress